dimanche 5 juin 2011
Voici les derniers résultats obtenus sur le banc d’interférométrie en frange noire PERSEE.
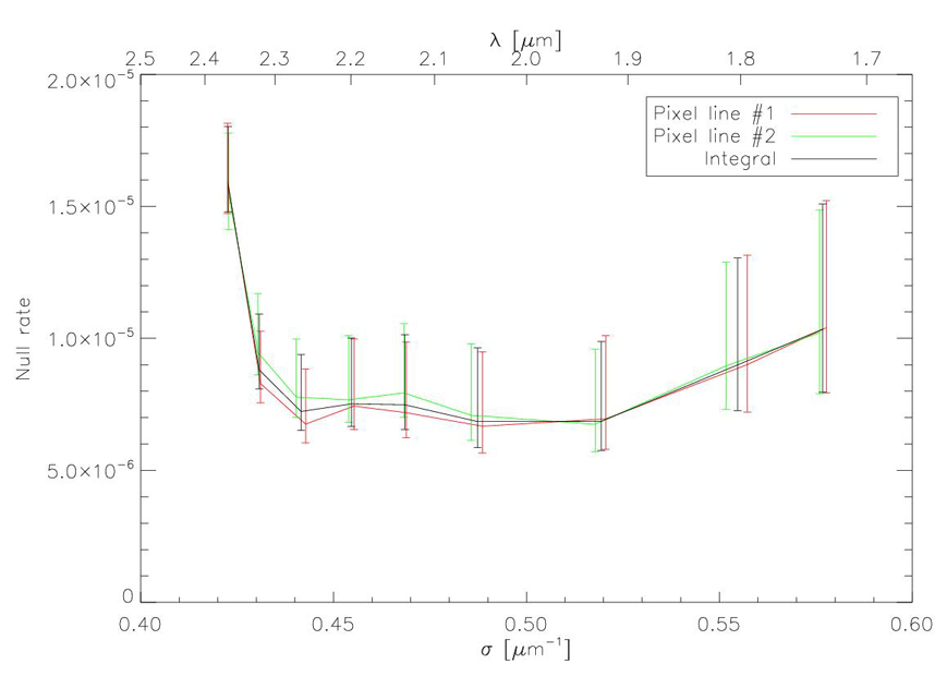
L’objectif était d’obtenir un taux d’extinction de 10−4 dans la bande [1,7-2,4] μm (35% d’étendue spectrale), avec une stabilité de 2.10−5 sur 100s (échantillonnage de 1s) et de 10−5 sur 10h (échantillonnage de 100s), en présence de perturbations typiques du vol en formation.
Les derniers résultats sont au-delà de nos espérances, car nous avons atteint un taux d’extinction de 8,7.10-6, avec une stabilité de 5.10-7 sur 100s. Ce résultat est le meilleur taux d’extinction polychromatique sur une bande aussi large jamais atteint par un banc d’interférométrie.

Julien LOZI (ONERA) et al.
Ce projet, financé par CNES, est issu d’une collaboration française (ONERA – Observatoire de Paris (LESIA - GEPI) – IAS – OCA – TAS). L’intégration de PERSEE à l’Observatoire de Paris (LESIA) est achevée depuis fin 2010, et l’expérience est désormais opérationnelle.
Equipe LESIA :
Pour en savoir plus :