lundi 9 décembre 2013
Les observations effectuées par le satellite CoRoT ont permis la première mise en évidence d’une signature photométrique de la granulation dans des étoiles autres que le Soleil. Ces observations ont de plus révélé l’existence d’une relation d’échelle universelle entre le temps caractéristique de la granulation stellaire et les paramètres de surface des étoiles. Les observations menées avec le satellite Kepler (NASA) sur un plus grand nombre d’étoiles viennent récemment de confirmer les observations CoRoT. Ces observations ont motivé un travail théorique conduit par des chercheurs du LESIA. Ce travail a abouti à un modèle théorique de la granulation stellaire qui reproduit de manière satisfaisante la relation d’échelle observée. Il permet de mieux comprendre les propriétés de la granulation stellaire et ses liens avec les propriétés des oscillations de type solaire. Cette étude est parue récemment dans la revue Astronomy & Astrophysics.

Photographie de la granulation de la photosphère du Soleil calme. Les granules ont une taille de l’ordre du mégamètre (source : base de donnée solaire BASS2000, Observatoire Midi Pyrénées)
La granulation solaire désigne les structures en forme de grains (appelées aussi granules, voir illustration 1) observées à la surface du Soleil et identifiées pour la première fois au début du 19ème siècle par William Herschel. On doit les premières photographies de ce phénomène à Jules Janssen (astronome à l’Observatoire de Meudon). Ce n’est que vers les années 1930 que ces structures ont été définitivement attribuée aux mouvements convectifs à la surface de notre étoile.
Depuis le milieu du 20ième siècle, de nombreuses observations de plus en plus précises ont été menées sur le Soleil et des modélisations de plus en plus sophistiquées proposées, notamment à partir de la fin des années 90 à l ’aide de simulations hydrodynamiques tri-dimensionnelles (illustration 2).

Modélisation hydrodynamique 3D de la granulation stellaire. Le domaine simulé est de l’ordre de quelques mégamètres sur chaque dimension (crédit : M. Steffen)
Ces structures, qui ont des tailles comparables à la France, sont très petites par rapport à la taille du Soleil. S’il est relativement aisé de les observer directement sur le Soleil, il n’est malheureusement pas possible de les visualiser directement sur d’autres étoiles. Ces structures se meuvent et évoluent en permanence dans le temps, ce qui produit de très petites variations de la lumière de l’étoile. La mesure de ces variations requiert des instruments de très haute précision photométrique et des longues observations (quelques semaines à plusieurs mois).
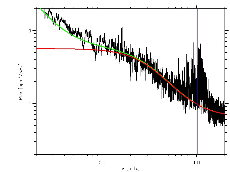
Grâce à sa très grande précision photométrique et longue durée d’observations, la mission spatiale CoRoT [1] a pu mettre en évidence la signature de ce phénomène dans de nombreuses étoiles [voir illustration 3]. Ces observations ont de plus révélé que le temps caractéristique de ce phénomène varie selon une relation d’échelle fonction de la fréquence caractéristique des oscillations de type solaire détectées dans ces mêmes étoiles. Cette fréquence (notée νmax) varie à son tour en fonction de deux caractéristiques simples de l’étoile : sa gravité et température de surface. Le temps caractéristique de la granulation stellaire varie par conséquent d’une étoile à une autre en fonction de ces deux seules quantités, ce qui confère à la granulation stellaire son caractère universel.

Spectre Fourier de l’étoile HD 49385 observée par le satellite CoRoT. La courbe en rouge correspond à la signature de la granulation. Le trait vertical bleu localise la fréquence caractéristique (νmax) des oscillations de type solaire détectées dans cette étoile.
Depuis cette découverte, la mission spatiale Kepler [2] (NASA) a mesuré les propriétés de la granulation dans un nombre encore plus grand d’étoiles allant de la séquence principale jusqu’à la phase de géante rouge, en passant par la phase de sous-géante. Ces observations ont confirmé et étendu la validité de la relation d’échelle observée par le satellite CoRoT.
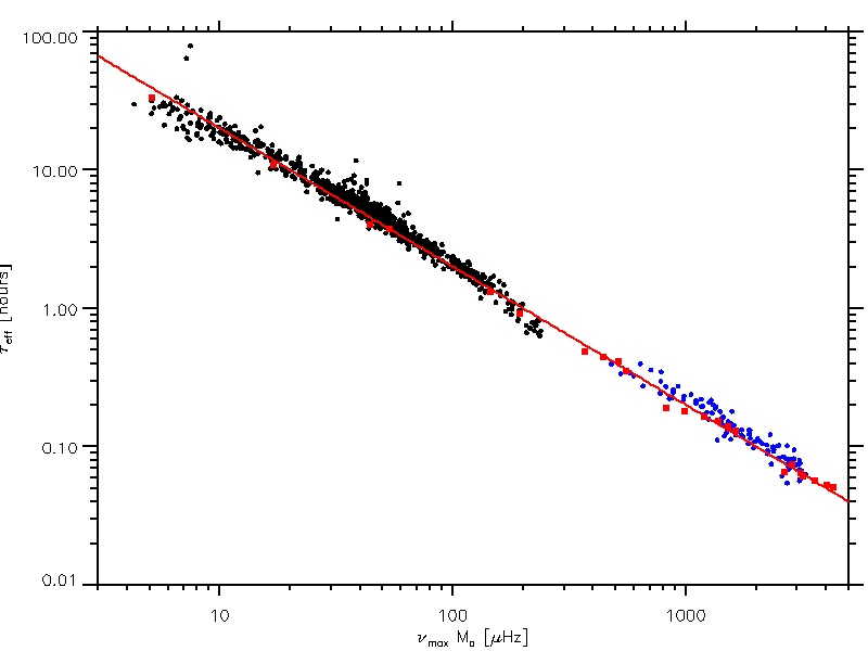
Cette relation demeurait jusqu’à présent en grande partie inexpliquée. Ceci a donc motivé un travail théorique qui a abouti à un modèle de la granulation stellaire [3]. Ce modèle a été ensuite confronté aux observations photométriques effectuées avec Kepler [4]. Les calculs théoriques ont nécessité 22 simulations [5] hydrodynamiques tri-dimensionnelles représentatives des étoiles observées. Ces calculs confirment la dépendance de la durée de vie des granules avec la fréquence caractéristique des oscillations (νmax). Ils révèlent que cette durée de vie dépend également d’un nombre caractéristique appelé nombre de Mach, qui mesure le rapport entre la vitesse des éléments turbulents et la vitesse du son au niveau de l’atmosphère [voir illustration 4]. Ce nombre renseigne sur la vitesse des granules à la surface de l’étoile.
Ce travail a permis de comprendre le lien jusqu’à présent inexpliqué entre les propriétés de la granulation et celles des oscillations stellaires. Il révèle enfin que ce type d’observations fournit une mesure du nombre de Mach, qui peut être utilisé comme contrainte sur les modèles de convection stellaire.

Temps caractéristique de la granulation stellaire (μHz) en fonction du produit νmax Ma, où νmax est la fréquence caractéristique des oscillations de type solaire détectées sur ces étoiles et Ma le nombre de Mach (ce nombre mesure le rapport entre la vitesse des granules et la vitesse du son) . Les cercles pleins correspondent aux mesures effectuées avec Kepler sur des géantes rouges (en noir) ainsi que sur des étoiles moins évoluées (en bleu). Les carrés rouges correspondent aux valeurs théoriques obtenues pour chaque simulations hydrodynamiques 3D
[1] CoRoT : Lancé le 26 décembre 2006, le télescope spatial CoRoT est né d’une initiative française. Il a été réalisé sous la maîtrise d’oeuvre du CNES en partenariat avec plusieurs laboratoires français (CNRS) et pays coopérants (Europe, Brésil). Une exposition, à voir jusqu’au 29 décembre 2013 au Musée de l’Air et de l’Espace, retrace son épopée.
[2] Kepler est une mission spatiale lancée par la NASA pour découvrir des planètes telluriques et autres petits corps qui orbitent autour d’autres étoiles. En savoir plus sur le satellite Kepler de la NASA : http://kepler.nasa.gov/Mission/QuickGuide/
[3] Samadi R., Belkacem K., Ludwig H.-G., « Stellar granulation as seen in disk-integrated intensity. I. Simplified theoretical modeling », 2013, Astronomy & Astrophysics, 559, A39
[4] Samadi R., Belkacem K., Ludwig H.-G., Caffau E., and 8 coauthors, « Stellar granulation as seen in disk-integrated intensity. II. Theoretical scaling relations compared with observations », 2013, Astronomy & Astrophysics, 559, A40
[5] Ces simulations hydrodynamiques 3D ont été calculées avec le code CO5BOLD durant la période 2005-2009 par l’équipe CIFIST du laboratoire GEPI (Observatoire de Paris). Chaque simulation a demandé un temps de calcul de l’ordre du mois sur une machine.